Radni list za učenike 3.5: Pojam zajedničkog dobra: zaštitni znak demokratije i diktature
Living Democracy » Textbooks » Učestvovati u demokratiji » Priručnik za učenike » Radni list za učenike 3.5: Pojam zajedničkog dobra: zaštitni znak demokratije i diktature|
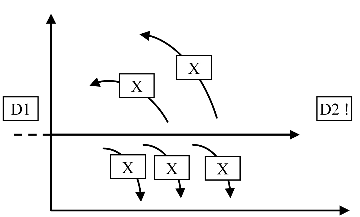
La multitude qui ne se réduit pas à l’unité est confusion; l’unité qui ne dépend pas de la multitude est tyrannie. [Različitost koja se ne može svesti na jedinstvo je konfuzija; jedinstvo koje zanemaruje različitost je tiranija.] Blaise Pascal (1623-62.) |
| Pregovaranje o zajedničkom dobru u pluralističkim demokratijama | Nametanje zajedničkog dobra u autokratskoj vladavini i diktaturi |
![]() |
![]() |
| U pluralističkim demokratijama, zajedničko dobro se dogovara u pregovorima i zagovara. Niko unaprijed ne zna rezultat (AB?). To često uključuje pokušaj i grešku pa se odluke mogu, a ponekad i moraju ispraviti. Politika je proces kolektivnog učenja kroz kontroverzne rasprave; na kraju mora biti donijeta odluka. | D1: božanskom spoznajom ili naučnom analizom (npr. marksizam–lenjinizam) zajedničko dobro se može objektivno definisati. Samo vladajuća elita je za to sposobna (D2!). Zajedničko dobro opravdava sva sredstva, uključujući silu, da bi se savladao otpor i suprotstavljanje (X). Kritičari “D1” ili “D2!” se proglašavaju neprijateljima. |
| U pluralističkim demokratijama, grupe promovišu različite ciljeve, interese i vrijednosti (ciljevi A i B). Svaka grupa zagovara svoje ciljeve (a1, a2, b1, b2), nastojeći da utiče na konačnu odluku u svoju korist (AAB? – BBA?). Pluralizam podstiče natjecanje i borbu mišljenja. Slobodni mediji podržavaju žustre rasprave. | U diktaturama, grupe ili pojedinci koji promovišu neku alternativu ili iznose kritiku bivaju ušutkani (simbol X). Pravo na učešće daje se samo pristalicama režima. Mediji se cenzurišu. Vladar odlučuje koji problemi, interesi ili ciljevi postaju dio političkog programa. |
| Borba mišljenja smatra se nužnom i produktivnom da bi se postigao dogovor i kompromis. Odluke podliježu kritičkom preispitivanju. | Pristanak nameće i unaprijed definiše vladar. Smatra se da borba mišljenja izaziva nesklad i opasna je, jer se teško kontroliše. |
- Obrazovanjem do demokratije (I)
- Uvod
- Prvi dio - Razumijevanje demokratije i ljudskih prava
- Poglavlje 1 - Objašnjenje koncepata
- Poglavlje 2 - Ključ za dinamični koncept građanstva13
- Poglavlje 3 - Obrazovanjem do demokratije i ljudskih prava
- 1. Tri dimenzije obrazovanja za demokratiju i ljudska prava
- 1.1 Kognitivna dimenzija obrazovanja za demokratiju i ljudska prava: učenje „o” demokratiji i ljudskim pravima
- 1.2 Participatorna dimenzija obrazovanja za demokratiju i ljudska prava: učenje „za” demokratiju i ljudska prava
- 1.3 Kulturna dimenzija obrazovanja za demokratiju i ljudska prava: učenje „kroz” demokratiju i ljudska prava
- 2. Vaspitanje i obrazovanje za ljudska prava i njegova povezanost sa vaspitanjem i obrazovanjem za demokratsko građanstvo15
- 3. Kompetencije neophodne za obrazovanje za demokratiju i ljudska prava
- 3.1 „Htio bih da moji učenici budu sposobni da …”
- 3.2 Kompetencije – opšta definicija
- 3.3 Kako nastavnici mogu otkriti koje kompetencije učenici posjeduju? Kompetencije i demonstracija
- 3.4 Model učeničkih kompetencija u obrazovanju za demokratiju i ljudska prava.
- 3.5 Kompetencije nastavnika obrazovanja za demokratiju i ljudska prava
- 4. „Svijet je tvorevina našeg uma”: konstruktivističko učenje u okviru obrazovanja za demokratiju19 i ljudska prava
- 5. Profesionalna etika nastavnika koji se bave podučavanjem obrazovanja za demokratiju i ljudska prava: tri načela
- 6. Ključni koncepti u obrazovanju za demokratiju i ljudska prava
- 7. Metod prenosi poruku: iskustveno učenje u obrazovanju za demokratiju i ljudska prava
- 7.1 Nedostaci tradicionalnog vaspitanja i obrazovanja građanstva
- 7.2 Nastavni proces kroz i za demokratiju i ljudska prava zahtijeva aktivno učenje
- 7.3 Zadaci – Nastavno sredstvo kojim nastavnik podržava aktivno učenje
- 7.4 Iskustveno učenje je problemsko učenje
- 7.5 Uloga nastavnika u nastavnim jedinicama iskustvenog učenja
- 7.6 Aktivno učenje zahtijeva naknadno razmatranje
- 8. Pristup školovanju utemeljen na ljudskim pravima27
- Poglavlje 4 - Obrazovanje za demokratiju i ljudska prava – Kratak istorijat pristupa Savjeta Evrope30
- Drugi dio - Učenje kroz demokratiju i ljudska prava
- Poglavlje 1 - Uslovi nastave i učenja
- 1. Uvod
- 2. Zadatak i ključna pitanja za uslove nastavnog procesa i učenja
- 2 - Radni materijal 1: Kako uzeti u obzir znanje i vještine učenika
- 2 - Radni materijal 2: Kako uzeti u obzir svoje znanje i vještine podučavanja
- 2 - Radni materijal 3: Razmatranje opštih uslova nastave i učenja
- 2 - Radni materijal 4: Koji su moji osnovni stavovi prema učenicima?
- 2 - Radni materijal 5: Preispitivanje discipline i reda s demokratse tačke gledišta
- 2 - Radni materijal 6: Preispitivanje uloge nastavnika s demokratske tačke gledišta
- 2 - Radni materijal 7: Kako razviti demokratsku atmosferu u razredu
- 2 - Radni materijal 8: Kako razviti školu kao demokratsku zajednicu
- Poglavlje 2 - Postavljanje ciljeva i izbor materijala
- 1. Uvod
- 2. Zadatak i ključna pitanja za postavljanje ciljeva i izbor materijala
- 2.1 Zadatak
- 2.2 Ključna pitanja
- 2 - Radni materijal 1: Kompetencije učenika za obrazovanje za demokratiju i ljudska prava
- 2 - Radni materijal 2: Dvije kategorije materijala za obrazovanje za demokratiju i ljudska prava
- 2 - Radni materijal 3: Izbor i korištenje materijala u obrazovanju za demokratiju i ljudska prava
- Poglavlje 3 - Razumijevanje politike
- Poglavlje 4 - Upravljanje procesima učenja i određivanje oblika nastave
- 1. Uvod
- 2. Zadatak i ključna pitanja za upravljanje procesima učenja i određivanje oblika nastavnog procesa
- 2.1 Zadatak
- 2.2 Ključna pitanja
- 2 - Radni materijal 1: Tri faze procesa učenja
- 2 - Radni materijal 2: Zašto kreda i katedra nijesu dovoljne, “podučeno ≠ naučeno” i “naučeno ≠ primijenjeno u stvarnom životu”
- 2 - Radni materijal 3: Izbor primjerenih oblika učenja i nastave
- 2 - Radni materijal 4: Pet osnovnih oblika nastave i učenja
- Poglavlje 5 - Vrednovanje učenika, nastavnika i škole
- 1. Uvod
- 2. Zadatak i ključna pitanja za vrednovanje učenika, nastavnika i škola
- 2.1 Zadatak
- 2.2 Ključna pitanja
- 2 - Radni materijal 1: Različite dimenzije vrednovanja
- 2 - Radni materijal 2: Perspektive vrednovanja
- 2 - Radni materijal 3: Perspektive i oblici vrednovanja
- 2 - Radni materijal 4: Referentni standardi
- 2 - Radni materijal 5: Vrednovanje učenika – uticaj vrednovanja na samospoznaju
- 2 - Radni materijal 6: Lista provjere „Kako ocjenjujem svoje učenike?”
- 2 - Radni materijal 7: Vrednovanje nastavnika
- 2 - Radni materijal 8: Samovrednovanje nastavnika
- 2 - Radni materijal 9: Rad s dnevnicima, zapisnicima, portfolijima41
- 2 - Radni materijal 10: Kooperativna nastava i povratne informacije kolega nastavnika
- 2 - Radni materijal 11: Vrednovanje obrazovanja za demokratiju i ljudska prava u školama
- 2 - Radni materijal 12: Indikatori kvaliteta obrazovanja za demokratiju i ljudska prava u školama
- 2 - Radni materijal 13: Opšti principi za vrednovanje obrazovanja za demokratiju i ljudska prava
- 2 - Radni materijal 14: Smjernice za samovrednovanje škola
- 2 - Radni materijal 15: Uključivanje raznih interesnih grupa u vrednovanje obrazovanja za demokratiju i ljudska prava u školama
- 2 - Radni materijal 16: Upravljanje i menadžment u školi50
- 2 - Radni materijal 17: Fokus na demokratsko upravljanje školama
- 2 - Radni materijal 18: Kako analizirati i interpretirati rezultate vrednovanja obrazovanja za demokratiju i ljudska prava
- Treći dio - Nastavna sredstva u nastavi i učenju demokratije i ljudskih prava
- Poglavlje 1 - Komplet nastavnih sredstava za nastavnike
- 1. Uvod
- Nastavno sredstvo 1: Iskustveno učenje
- Nastavno sredstvo 2: kooperativno učenje
- Nastavno sredstvo 3: Vođenje plenarnih sjednica (rasprava i kritičko razmišljanje) u nastavi obrazovanja za demokratiju i ljudska prava
- Nastavno sredstvo 4: Intervjuisanje stručnjaka – kako prikupiti informacije
- Nastavno sredstvo 5: Definisanje ciljeva predavanja baziranih na kompetencijama51
- Poglavlje 2 - Komplet nastavnih sredstava za učenike
- 1. Uvod
- Nastavno sredstvo 1: Radni list učenika za planiranje rasporeda učenja
- Nastavno sredstvo 2: Radni list učenika za preispitivanje vlastitog procesa učenja
- Nastavno sredstvo 3: Radni list učenika za preispitivanje svojih postignuća
- Nastavno sredstvo 4: Istraživanje u bibliotekama
- Nastavno sredstvo 5: Istraživanje putem interneta
- Nastavno sredstvo 6: Sprovođenje intervjua i anketa
- Nastavno sredstvo 7: Interpretacija slika
- Nastavno sredstvo 8: Mentalne mape
- Nastavno sredstvo 9: Izrada postera
- Nastavno sredstvo 10: Organizovanje izložbi
- Nastavno sredstvo 11: Planiranje i održavanje prezentacija
- Nastavno sredstvo 12: Priprema providnih folija za grafoskop ili PowerPoint prezentacija
- Nastavno sredstvo 13: Pisanje novinskih članaka
- Nastavno sredstvo 14: Postavljanje predstava
- Nastavno sredstvo 15: Organizovanje debata
- Odrastati u demokratiji (II)
- Uvod
- NASTAVNA JEDINICA 1: IDENTITET - Ja u svojoj zajednici
- NASTAVNA JEDINICA 2: RAZLIČITOST I PLURALIZAM - Kod kuće u Evropi
- NASTAVNA JEDINICA 3: RAVNOPRAVNOST - Manjine i većine
- NASTAVNA JEDINICA 4: KONFLIKT - Pravila pomažu u rješavanju konflikta
- NASTAVNA JEDINICA 5: PRAVILA I PROPISI - Osnova zajedničkog života
- NASTAVNA JEDINICA 6: MOĆ I VLAST - Ja sam šef! Jesam li?
- NASTAVNA JEDINICA 7: ODGOVORNOST - Ja postajem eko… moja škola učestvuje!
- NASTAVNA JEDINICA 8: PRAVA I SLOBODE - Moja prava – tvoja prava
- NASTAVNA JEDINICA 9: MEDIJI - Mediji u upotrebi: Da mogu – bih!
- Priručnik za učenike
- I. Radni listovi za učenike - Uvod
- Radni list učenika za Nastavnu jedinicu 1, Lekcija 1: „To mi se sviđa, a to ne”
- Radni list učenika za Nastavnu jedinicu 1, lekcija 2 i 3: Matrica grba
- Radni list učenika za Nastavnu jedinicu 1, Lekcija 4: rasprava u tri koraka
- Radni list učenika za Nastavnu jedinicu 2, Lekcija 1: Karta Evrope (povećajte na A3 format)
- Radni list učenika za Nastavnu jedinicu 2, Lekcija 1: Države i glavni gradovi Evrope
- Radni list učenika za Nastavnu jedinicu 2, Lekcija 1: Evropske zastave
- Radni list učenika za Nastavnu jedinicu 2, Lekcija 1: Rijeke u Evropi
- Radni list učenika za Nastavnu jedinicu 2, Lekcija 1: Planine i reljef u Evropi
- Radni list učenika za Nastavnu jedinicu 2, lekcije 2 i 3: Državni portret
- Radni list učenika za Nastavnu jedinicu 3, Lekcija 2: Tabela za bilješke
- Radni list učenika za Nastavnu jedinicu 3, Lekcija 3: Statistička tabela
- Radni list učenika za Nastavnu jedinicu 3, lekcija 4: Kartice riječi i kartice moći
- Radni list učenika za Nastavnu jedinicu 4, lekcija 1: Naš problem – moj problem
- Radni list učenika za Nastavnu jedinicu 4, lekcija 3: Kartice za glasanje
- Radni list učenika za Nastavnu jedinicu 5, Lekcija 1: Prava, odgovornosti i pravila u našoj školi
- Radni list učenika za Nastavnu jedinicu 5, lekcija 3: Kartice za glasanje
- Radni list učenika za Nastavnu jedinicu 5, Lekcija 4: Kriterijumi za dobra pravila
- Radni list učenika za Nastavnu jedinicu 6, Lekcija 1: Superjunak?
- Radni list učenika za Nastavnu jedinicu 6, lekcija 2: Šema političkog predstavništva
- Radni list učenika za Nastavnu jedinicu 6, lekcija 3: Informisanje pred izbore
- Radni list učenika za Nastavnu jedinicu 7, lekcija 1: Odgovornost za što?
- Radni list učenika za Nastavnu jedinicu 7, lekcija 4: Ko ima kakvu vrstu odgovornosti?
- Radni list učenika za Nastavnu jedinicu 8, lekcija 1: Zadatak da odlučimo između „ŽELJA” i „POTREBA“
- Radni list učenika za Nastavnu jedinicu 8, Lekcija 2: Ljudska prava: uporedna lista za prava i potrebe
- Radni list učenika za Nastavnu jedinicu 8, Lekcija 3: Anketa o ljudskim pravima
- Radni list učenika za Nastavnu jedinicu 9, Lekcija 1: Prezentacijske kartice koje daju osnovne podatke o medijskim uređajima
- II. Nastavna sredstva za učenike - Uvod
- 1. Istraživanje u biblioteci
- 2. Pretraživanje interneta
- 3. Provođenje intervjua i anketa
- 4. Tumačenje slika
- 5. Mentalne mape
- 6. Izrada postera
- 7. Održavanje izložbi
- 8. Planiranje i izlaganje prezentacija
- 9. Pripremanje slajdova ili PowerPoint prezentacije
- 10. Pisanje novinskih članaka
- 11. Izvođenje predstava
- 12. Održavanje debata
- Živjeti u demokratiji (III)
- Uvod
- Prvi dio: Pojedinac i zajednica
- NASTAVNA JEDINICA 1: Stereotipi i predrasude
- Lekcija 1: Kako drugi vide određenu osobu
- Lekcija 2: Kako se sve osoba može opisati?...
- Lekcija 3: Stereotipi i predrasude
- Lekcija 4: Identitet: Stereotipi o meni!
- Radni list za učenike 1.1: (Prva grupa) Igranje uloga
- Radni list za učenike 1.1: (Druga grupa) Igranje uloga
- Radni list za učenike 1.1: (Treća grupa) Igranje uloga
- Dodatni materijali za nastavnike: Stereotipi i predrasude
- Radni list za učenike 1.2: Samopercepcija – percepcija od strane drugih
- NASTAVNA JEDINICA 2: Ravnopravnost - Jesi li ti ravnopravniji od mene?
- NASTAVNA JEDINICA 3: Različitost i pluralizam - Kako živjeti zajedno u miru?
- Lekcija 1: Kako ljudi mogu zajedno živjeti?
- Lekcija 2: Zašto se ljudi ne slažu?
- Lekcija 3: Kako se ljudi razlikuju?
- Lekcija 4: Zašto su važna ljudska prava?
- Radni list za učenike 3.1: Škola na rubu šume
- Radni list za učenike 3.2: Houp je za svakoga
- Radni list za učenike 3.3: Pomoć za koledž Houp
- Radni list za učenike 3.4 - Ostrvljani i doseljenici (kartice s ulogama)
- Radni list za učenike 3.5: Situacijske kartice: ostrvljani
- Radni list za učenike 3.6: Ključni elementi ljudskih prava15
- NASTAVNA JEDINICA 4: Sukob
- Lekcija 1: Rješavanje sukoba
- Lekcija 2: Primjena pristupa u šest koraka
- Lekcija 3: Oprečna ljudska prava
- Lekcija 4: Upotreba nasilja
- Materijal za nastavnike: Međunarodno humanitarno pravo
- Radni list za učenike 4.1: Pristup rješavanju sukoba u šest koraka
- Radni list za učenike 4.2: Scenarijo sukoba
- Radni list za učenike 4.3: Pet slučajeva suprotstavljenih ljudskih prava
- Radni list za učenike 4.4: Je li nasilje u nekim slučajevima prihvatljivo?
- Drugi dio: Preuzimanje odgovornosti
- NASTAVNA JEDINICA 5: Prava, slobode i obaveze
- Lekcija 1: Želje, osnovne potrebe, ljudsko dostojanstvo i ljudska prava
- Lekcija 2: Prepoznavanje povrede ljudskih prava
- Lekcija 3: Prava i odgovornosti
- Lekcija 4: Kviz o ljudskim pravima
- Radni list za učenike 5.1: Želje, potrebe i prava
- Radni list za učenike 5.2: Popis ljudskih prava
- Radni list za učenike 5.3: Slučajevi povrede ljudskih prava
- Radni list za učenike 5.4: Prava i odgovornosti
- Radni list za učenike 5.5: Kviz o ljudskim pravima (kartice)
- Materijal za nastavnika
- NASTAVNA JEDINICA 6: Odgovornost
- Lekcija 1: Odgovornosti u porodici
- Lekcija 2: Zašto bi ljudi trebalo da poštuju zakon?
- Lekcija 3: Čiji je to problem?
- Lekcija 4: Zašto ljudi postaju aktivni građani?
- Radni list za učenike 6.1: Milanov izbor
- Radni list za učenika 6.2: Šmitova dilema
- Radni list za učenike 6.3: Situacija izmiče kontroli!
- Radni list za učenike 6.4: Kartice: život Jelene Šantić
- Treći dio: Učestvovanje
- Četvrti dio: Moć i autoritet
- NASTAVNA JEDINICA 8: Pravila i propisi
- Lekcija 1: Dobar zakon – loš zakon
- Lekcija 2: U kom starosnom dobu?
- Lekcija 3: Vi donosite zakon
- Lekcija 4: Pravila predočavanja dokaza
- Radni list za učenike 8.1: Upitnik: u kojem starosnom dobu?
- Radni list za učenike 8.2: Kartice za raspravu
- 8.1 Dodatne informacije za nastavnike: Integracija, ne kriminalizacija
- 8.2 Dodatne informacije za nastavnike: Konvencija o pravima djeteta
- NASTAVNA JEDINICA 9: Vlast i politika
- Učestvovati u demokratiji (IV)
- Uvod
- Interaktivno konstruktivističko učenje u obrazovanju za demokratiju i ljudska prava
- Prvi dio: Učešće u zajednici
- NASTAVNA JEDINICA 1: IDENTITET
- Lekcija 1: tavovi o izboru i identitetu
- Lekcija 2: Pogled unazad: koji su me izbori učinili osobom kakva jesam?
- Lekcija 3: Pogled unaprijed: tri izbora koja oblikuju naš budući život
- Lekcija 4: Koje zanimanje mi odgovara?
- Nastavni materijali 1.1: Citati o izboru i identitetu
- Nastavni materijal 1.2: Kartice zanimanja
- Jedinica 1.3: Popratne informacije za nastavnike
- NASTAVNA JEDINICA 2: ODGOVORNOST
- Lekcija 1: Rizikovati gubitak prijatelja - ili prekršiti pravilo?
- Lekcija 2 i 3: Šta bi ti učinio/učinila?
- Lekcija 4: Koje su nam vrijednosti zajedničke?
- Nastavni materijali 2.1: Kako koristiti instrument za analizu dileme
- Nastavni materijal 2.2: Šema na flip chart-u za poređenje rješenja dileme (Lekcija 4)
- Nastavni materijal 2.3: Sloboda i odgovornost – tri modula lekcije
- NASTAVNA JEDINICA 3: RAZLIČITOST I PLURALIZAM
- Lekcija 1: Da sam ja predsjednik …
- Lekcija 2: Koje ciljeve želimo promovisati?
- Lekcija 3: Šta je zajedničko dobro?
- Lekcija 4: Učešće u pluralističkoj demokratiji
- Materijali za nastavnike 3A: Četiri osnovna politička gledišta
- Materijali za nastavnike 3B - Lekcija: šta je zajedničko dobro?
- Nastavni materijal 3C - Predlozi za dodatni rad i nastavak
- Drugi dio - Učešće u politici: rješavanje sukoba, rješavanje problema
- NASTAVNA JEDINICA 4: SUKOB
- Lekcija 1: Igra ribolova (1)
- Lekcija 2: Igra ribolova (2)
- Lekcija 3: Kako možemo uloviti „što je moguće više ribe“?
- Lekcija 4: Kako možemo postići održivost?
- Nastavni materijal 4.1: Igra ribolova: evidencijska tabela za igrače
- Materijali za nastavnike (rukovodioce igre) 4.2: Tabela reprodukcije: obnova riblje populacije (u tonama ribe)
- Materials for teachers 4.3: Fishing game: record chart
- Nastavni materijal 4.4: Igra ribolova: dijagram ribljih zaliha i ukupni ulov
- Nastavni materijal 4.5: Uputstva za domaći zadatak (mini-radni list za učenike)
- Nastavna jedinica 4.5: Popratne informacije za nastavnike: Literatura o igri ribolova
- NASTAVNA JEDINICA 5: PRAVILA I PROPISI
- NASTAVNA JEDINICA 6: VLAST I POLITIKA
- Lekcija 1: „Naš najurgentniji problem je …“
- Lekcija 2: Politika – kako demokratska zajednica rješava svoje probleme
- Lekcija 3: Primjena modela političkog ciklusa
- Lekcija 4: Kako možemo učestvovati?
- Lekcija 5: Povratne informacije (neobavezno)
- Nastavni materijal 6.1: Ilustracija modela političkog ciklusa – kako možemo smanjiti broj automobilskih nesreća?
- Nastavni materijal 6.2: Ključne izjave o modelu političkog ciklusa
- NASTAVNA JEDINICA 7: RAVNOPRAVNOST
- Treći dio - Učešće u politici: Participacija kroz komunikaciju
- Priručnik za učenike
- Radni list za učenike 1.1: Koje odluke su me učinile osobom koja sam danas – i ko ih je donio?
- Radni list za učenike 1.2: Tri mogućnosti koje oblikuju našu budućnost
- Radni list za učenike 1.3: Moji kriterijumi za izbor zanimanja
- Radni list za učenike 1.4: Upitnik: uvid u zanimanje
- Radni list za učenike 2.1: Pojam dileme
- Radni list za učenike 2.2: Instrument za analizu i rješavanje dileme
- Radni list za učenike 2.3: Kako bi ti odlučio/odlučila? Primjeri suočavanja s dilemom
- Radni list za učenike 2.4: Evidencijski obrazac za razgovor o dilemi (na osnovu radnog lista 2.3)
- Radni list za učenike 2.5: Univerzalna deklaracija o ljudskim pravima (10. decembar 1948.)
- Radni list za učenike 2.6: Konvencija o zaštiti ljudskih prava i osnovnih sloboda (Evropska konvencija o ljudskim pravima), izmijenjena Protokolom br. 11 i Protokolima br. 1, 4, 6 (isječci)
- Radni list za učenike 3.1: Plan Nastavne jedinice 3: „Različitost i pluralizam”
- Radni list za učenike 3.2: Učestvovati u demokratiji – osnovna pravila i principi
- Radni list za učenike 3.3: Osnivanje političke stranke
- Radni list za učenike 3.4: Kako demokratski politički sistem rješava različitost i pluralizam?
- Radni list za učenike 3.5: Pojam zajedničkog dobra: zaštitni znak demokratije i diktature
- Radni list za učenike 3.6: Karta društvenih podjela i političke stranke
- Radni list za učenike 4.1: Primjer slučaja: sukob u ribarskoj zajednici
- Radni list za učenike 4.2: Model ciljeva za postizanje održivosti
- Radni list za učenike 4.3: Primjena modela održivosti na igru ribolova: Kako možemo upecati „što je moguće više ribe“?
- Radni list za učenike 4.4: Koja je optimalna ravnoteža između razmnožavanja ribe i ulova?
- Radni list za učenike 5.1: Pripreme za skupštinu o sistemu pravila
- Radni list za učenike 5.2: Osnovna pitanja o kojima treba voditi računa kod izrade institucionalnog uređenja
- Radni list za učenike 5.3: Poređenje različitih sistema pravila
- Radni list za učenike 5.4: Proceduralna pravila za skupštinu – nacrt
- Radni list za učenike 5.5: Sažetak: šta možemo naučiti igrajući ovakve igre?
- Radni list za učenike 5.6: Povratne informacije uz nastavne jedinice 4 i 5
- Radni list za učenike 6.1: Model političkog ciklusa: politika kao proces rješavanja problema u zajednici
- Radni list za učenike 6.2: Politički ciklus – instrument za praćenje i razumijevanje procesa političkog odlučivanja
- Radni list za učenike 6.3: Povratne informacije za nastavnu jedinicu „Vlast i politika”
- Radni list za učenike 7.1: Je li vladavina većine nepravedna prema manjini? Primjer slučaja.
- Radni list za učenike 7.2: Kako demokratski sistemi brinu o zaštiti manjina?
- Radni list za učenike 7.3: Zadatak: pisanje statuta sportskog kluba
- Radni list za učenike 7.4: Evidencija o izlaganjima grupa: nacrt Statuta mikrozajednice
- Radni list za učenike 8.1: Predlozi za predmet rasprave
- Radni list za učenike 8.2: Pravila za održavanje rasprave
- Radni list za učenike 8.3: Plan za timove koji učestvuju u raspravi
- Radni list za učenike 8.4: Plan za predsjedavajućeg
- Radni list za učenike 8.5: Zapisnik za slušaoce
- Radni list za učenike 8.6: Radni list za pisce vijesti s rasprave
- Radni materijal za učenike 9.1: Izrada zidnih novina – izvršiti odabir
- Radni list za učenike 9.2: Savjeti za izradu zidnih novina
- Radni list za učenike 9.3: Savjeti za pisanje dobre novinarske priče
- Istražujući dječja prava (V)
- Uvod: Ono što devet jedinica imaju da ponude (razred 1– 9)
- Dio 1: Planovi nastave
- Jedinica 1 (osnovna škola, 1. razred) - Ja imam ime – mi imamo školu
- Jedinica 2 (osnovna škola, 2. razred) - Imena znače više od samih slova!
- Jedinica 3 (osnovna škola, 3. razred) - Mi smo čarobnjaci!
- Jedinica 4 (osnovna škola, 4. razred) - Naša prava – naše blago
- Jedinica 5 (osnovna škola, 5. razred) - Mi postavljamo pravila za našu učionicu
- Jedinica 6 (osnovna škola, 6. razred) - Dječija prava: umjetničko djelo!
- Jedinica 7 (osnovna škola, 7. razred) - Je li ono što želim ujedno i ono što mi treba?
- Jedinica 8 (osnovna škola, 8. razred) - Dječja prava - potpuno proučena!
- Jedinica 9 (osnovna škola, 9. razred) - Zašto moramo poštovati pravila?
- Dio 2: Dodatne informacije
- 1. Najčešće postavljana pitanja o konvenciji o dječjim pravima
- 2. Dječija prava – dio procesa razvoja ljudskih prava
- 3. Kako su nastala dječija prava
- 4. Dječja prava: iskustvo, upoznavanje i sprovođenje
- 5. Pedagoški pristup: učenje na primjeru
- 6. Učenje putem zadataka: propratno učenje
- 7. Nastava dječjih prava: ključna pitanja koja odlučuju o izboru nastavnih metoda
- 8. „Ali to znači da imam pravo na odmor, zar ne?" - Dječija prava u učionici
- Dio 3: Dokumenti i nastavni materijali
- Podučavati demokratiju (VI)
- Uvod
- Poglavlje 1 - Stvaranje atmosfere u učionici
- Poglavlje 2 – Pojašnjavanje vrijednosti
- Poglavlje 3 – Upoznavanje ljudskih prava
- Poglavlje 4 – Doživljavanje drugih
- Zadatak 4.1. – Svi različiti, svi jednaki
- Vježba 4.2. - Različitost
- Vježba 4.3. – Tačno i netačno
- Vježba 4.4. – Prvi utisci
- Vježba 4.5. – Svi imamo predrasude
- Vježba 4.6. – Svi smo ravnopravni, ali neki su ravnopravniji od ostalih
- Vježba 4.7. – Turisti
- Vježba 4.8. - Globingo: "Ljudsko biće je dio cijelog svijeta".
- Poglavlje 5 – Omogućiti djelovanje pravde
- Poglavlje 6 – Shvatanje političke filozofije
- Poglavlje 7 – Učestvovanje u politici
- Vježba 7.1. – Zid šutnje
- Vježba 7.2. – Moji stavovi o diktaturi
- Zadatak 7.3. – Upitnici o stavovima prema promjeni
- Vježba 7.4. – Projekat planiranja6
- Vježba 7.5. – Mi i svijet
- Zadatak 7.6. – Trebamo li da učestvujemo u politici?
- Vježba 7.7. – Na koji način vlast utiče na naš život?
- Vježba 7.8. – Načini participacije u demokratiji
- Vježba 7.9. – Politički ciklus
- Poglavlje 8 – Kako se nositi s konfliktima
- Vježba 8.1. - Pobjeda-pobjeda rješenja
- Vježba 8.2. – Strukturisani pristup rješavanju konflikta
- Vježba 8.3. – Konflikti u porodici i s vršnjacima
- Vježba 8.4. - Brainstorming o konfliktu i miru
- Vježba 8.5. – Kipovi
- Vježba 8.6. – Kazna naspran pozitivnog rješavanja konflikta
- Vježba 8.7. – Manjine
- Vježba 8.8. – Slike rata i mira
- Ilustracije

